ما هي الروابط الهيدروجينية

معلومات عامة  -  بواسطة:   اخر تحديث:  2021-04-19
ما هي الروابط الهيدروجينية

الروابط الهيدروجينية (Hydrogen Bonds)، هي إحدى أنواع الروابط الكيميائية الضعيفة نسبيًّا، أضعف من الروابط التساهمية والأيونية، ولكن تميل إلى أن تكون أقوى من قوى فاندرفالس، وتشكل نوعًا خاصًا من تجاذب القوى ثنائية القطب، وذلك عندما توجد ذرة هيدروجين مرتبطةً بذرةٍ ذات كهرسلبيةٍ قوية، بالقرب من ذرةٍ كهرسلبية أخرى مع زوجٍ واحدٍ من الإلكترونات.

كيفية تشكّل الروابط الهيدروجينية

حتى تتشكل الرابطة الهيدروجينية، يجب أن يكون لديناعنصر مانحوعنصر مستقبلالعنصر المانح في هذه الرابطة هو الذرة التي ترتبط بها ذرة الهيدروجين (والتي هي العنصر المستقبل)، والمشاركة فيها تساهميًا، وغالبًا ما تكون ذرة ذات كهرسلبيةٍ قويةٍ مثل الأوكسجين (O) أو النيتروجين (N) أو الفلور (F)، ويجب أن تمتلك زوجًا وحيدًا من الإلكترونات.بما أن المانح للهيدروجين هو ذرةٌ ذات كهرسلبيةٍ قوية، فإنها تسحب زوج الإلكترون المرتبط تساهميًا بحيث يصبح أقرب إلى نواتها، وبعيدًا عن ذرة الهيدروجين. ثم تُترك ذرة الهيدروجين بشحنةٍ موجبةٍ جزئية δ+، مما يخلق تجاذب ثنائي القطب بين ذرة الهيدروجين المرتبطة بالعنصر المانح، وزوج الإلكترون الوحيد للهيدروجين.

كيفية تشكّل الروابط الهيدروجينية
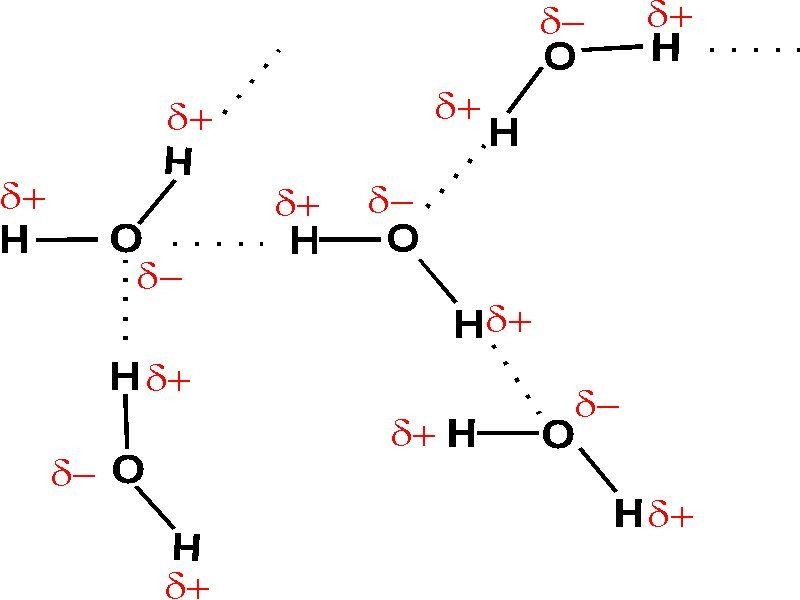
الروابط الهيدروجينية في جزيء الماء

ما هي شروط تشكّل الرابطة الهيدروجينية

كنتيجةٍ لهذا النوع من الروابط، نجد أن ذرة الهيدروجين تربط ذرتين شديدتي الكهرسلبية في وقتٍ واحدٍ، إحداها برابطةٍ هيدروجينيةٍ والأخرى برابطةٍ تساهميةٍ، وشرطا التشكّل هما:

  • يجب أن يحتوي الجزيء على ذرةٍ ذات كهرسلبيةٍ عاليةٍ مرتبطة بذرة الهيدروجين، كلما زادت الكهرسلبية، كلما زاد استقطاب الجزيء.
  • يجب أن يكون حجم الذرة ذات الكهرسلبية صغيرًا، كلما كان الحجم أصغر، زاد الجذب الكهربائي بشكلٍ أكبر.
  • أمثلة على الروابط الهيدروجينية

  • فلوريد الهيدروجين (HF):يشكل الفلور الأعلى قيمة من حيث الكهرسلبية، أقوى رابطةً هيدروجينية.
  • الماء (H2O):يحتوي جزيء الماء على ذرة أكسجين عالية الكهرسلبية مرتبطةً بذرة الهيدروجين، تجذب ذرة الأكسجين زوج الإلكترونات المشترك أكثر، وتصبح هذه النهاية للجزيء سلبيةً، في حين تصبح ذرات الهيدروجين موجبةً.
  • الأمونيا (NH3):تحتوي الأمونيا على ذرة نيتروجين عالية الكهرسلبية مرتبطةً بذرات الهيدروجين.
  • أنواع الروابط الهيدروجينية

    يمكن أن تتشكل الروابط الهيدروجينية داخل جزيءٍ واحد، بين جزيئين متشابهين، أو بين جزيئين مختلفين.

  • الروابط داخل الجزيئات (Intramolecular Hydrogen Bonds):تتشكل بين ذرتين مشحونتين جزئيًّا في ذات الجزيء، يحدث هذا عندما تتواجد مجموعتان وظيفيتان في نفس الجزيء، ويمكنهما جذب بعضهما البعض لتشكيل رابطة هيدروجينية، أي يجب أن تكون كلٌ من الذرة المانحة والمستقبلة داخل جزيءٍ واحد، وعلى مقربةٍ من بعضهما البعض.
  • الروابط بين الجزيئات (Intermolecular Hydrogen Bonds):تتشكل بين الجزيئات المنفصلة في المادة (بين أي عددٍ من الجزيئات المتشابهة أو غير المتشابهة)، فمثلًا يمكن أن تتشكل هذه الروابط بين جزيئات NH3وحدها، أو بين جزيئات H2O وحدها، أو بين جزيئات NH3و H2O.[1]
  • تظهر المركبات ذات الروابط الهيدروجينية نقاط انصهارٍ وغليانٍ مرتفعة، وذلك يعود للحاجة إلى طاقةٍ إضافيةٍ لكسر هذه الروابط.[2]تعد الروابط الهيدروجينية السبب الرئيسي الذي يجعل للماء خصائص كيميائية هامة واستثنائية:
  • تقلل الروابط الهيدروجينية بين جزيئات الماء ، من التغيرات الشديدة في درجة الحرارة بالقرب منالمسطحات المائيةالكبيرة.
  • تحافظ الروابط الهيدروجينية على الماء في حالته السائلة في نطاق درجات الحرارة العالية، لدى مقارنته مع أي جزيءٍ آخر مماثلٍ في الحجم.
  • تؤدي الروابط الهيدروجينية بين جزيئات الماء إلى رفع درجة حرارة تبخره بشدةٍ، وبالتالي هناك حاجةٌ إلى طاقة حرارية كبيرة لتغيير الماء من حالته السائلة إلىبخار الماء[3]
  • أين نجد هذا النوع من الروابط

  • الروابط الهيدروجينية في البروتينات والسكريات:
  • تلعب الروابط الهيدروجينية أيضًا دورًا رئيسًا في تكوين البنية الثانوية والثالثية للبروتينات. يشكل الأوكسجين من مجموعة الكربوكسيل للحمض الأميني الأول، مع الهيدروجين من مجموعة الأميد للحمض الأميني الثاني، الرابطة الهيدروجينية وتمنح تراكيب هيكليةً مستقرةً ومحددةً للبروتينات.
    أين نجد هذا النوع من الروابط
    الروابط الهيدروجينية في البروتينات والسكريات
    العديد من الكربوهيدرات مثل السكريات الأحادية والثنائية، قابلة للذوبان في الماء، بسبب تكوين روابطَ هيدروجينيةٍ بين الجزيئات السكرية والماء، مثل الجلوكوز والفركتوز، والسكروز والمالتوز، واللاكتوز …. جميعها قابلة للذوبان في الماء إلى حدٍّ ما، كما تُظهر بعض السكريات المتعددة انجذابًا قويًّا للماء، وتشكل بذلك غرويات محبة لوسط الانتثار (الماء) كالنشاء.
  • الروابط الهيدروجينية في الحمض النووي DNA:
  • تلعب هذه الروابط دورًا بين الأزواج القاعدية في الحمض النووي، والتي تشكل في النهاية البنية الحلزونية اللولبية) المزدوجة للحمض النووي. لوحظ أن الأدينين (Adenine) دائمًا ما يرتبط مع الثايمين (Thymine)، ويرتبط الغوانين (Guanine) دائمًا مع السيتوزين (Cytosine)، وبالتالي فإن عدد جزيئات الأدينين يساوي دائمًا عدد جزيئات الثايمين، وعدد جزيئات السيتوزين متساوٍ مع عدد جزيئات الغوانين حيث يشكل الأدينين رابطتين هيدروجينيتين مع الثايمين، بينما تشكل الغوانين ثلاث روابطَ هيدروجينيةٍ مع السيتوزين.[4]
    أين نجد هذا النوع من الروابط
    الروابط الهيدروجينية في الحمض النووي DNA

    المراجع