خصائص اللوغاريتمات

معلومات عامة  -  بواسطة:   اخر تحديث:  2020-10-29
خصائص اللوغاريتمات

اللوغاريتمات وامثلة عليها

بينما تحتوي معظم الآلات الحاسبة العلمية على أزرار للوغاريتم المشترك واللوغاريتم الطبيعي فقط ، يمكن تقييم اللوغاريتمات الأخرى باستخدام صيغة تغيير الأساس التالية .مثال 1أوجد قيمة log5 3 ، تسمح لنا صيغة تغيير القاعدة بتقييم هذا التعبير باستخدام أي لوغاريتم آخر ، لذلك سنحل هذه المسألة بطريقتين، باستخدام اللوغاريتم الطبيعي أولاً، ثم اللوغاريتم المشترك .اللوغاريتم الطبيعي

اللوغاريتمات وامثلة عليها
اللوغاريتم المشترك
اللوغاريتمات وامثلة عليها
التمرين 1:ويترتب على ذلك من الهوية اللوغاريتمية 1 أن log2 8 = 3.(أ) استخدم الآلة الحاسبة وصيغة تغيير الأساس مع اللوغاريتم الطبيعي للتحقق من أن log2 8 = 3.(ب) استخدم الآلة الحاسبة وصيغة تغيير الأساس مع اللوغاريتم المشترك للتحقق من أن log2 8 = 3.

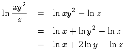
1. log a (uv) = log a u + log a v1. ln (uv) = ln u + ln v
2. log a (u / v) = log a u – log a v2. ln (u / v) = ln u – ln v
3. log a u n = n log a u3. ln u n = n ln u

1. log a (uv) = log a u + log a v1. ln (uv) = ln u + ln v
2. log a (u / v) = log a u – log a v2. ln (u / v) = ln u – ln v
3. log a u n = n log a u3. ln u n = n ln u
 
  • الخصائص الموجودة على اليمين هي إعادة صياغة للخصائص العامة للوغاريتم الطبيعي .
  • يمكن إعادة كتابة العديد من التعبيرات اللوغاريتمية إما موسعة أو مكثفة .
  • باستخدام الخصائص الثلاثة المذكورة أعلاه ، التوسيع هو تقسيم التعبير المعقد إلى مكونات أبسط ، بينما التكثيف هو عكس هذه العملية .
  • التوسيع 
    خصائص اللوغاريتمات
    التكثيف
    خصائص اللوغاريتمات
    [1]

    اللوغاريتم والدوال اللوغاريتمية

    سنبدأ برسم منحنى لـ y = 10x.

    اللوغاريتم والدوال اللوغاريتمية
    لقد حددنا أيضًا النقطة حيث y = 7 على المنحنى، بقراءة المحور السيني، نرى أنه عندما تكون y = 7 ، فإن x ≈ 0.85. هكذا:100,85≈7يمكننا أخذ أي قيمة (موجبة) على المحور y وقراءتها على المحور x ، يمكننا أخذ أي رقم وإعادة كتابته كتعبير أسي حيث 10 هو الأساس ، أي كأس 10 .مثاليُعرف الأس باللوغاريتم الأساسي 10، على سبيل المثال، من أجل حل المعادلات مثل:11 = 10xيجب علينا إما حلها بيانياً ، عن طريق رسم منحنى 10x وإيجاد قيمة x عندما تكون y = 11 (على النحو الوارد أعلاه)، أو قد نستخدم آلة حاسبة الجيب الخاصة بنا والتي لها وظيفة تتوافق مع رسم الرسم البياني وقراءته يدويًا.تم تعيين المفتاح كـ “lg” أو “log”. حل المعادلة هو:س = log 11≈1.04معادلة الشكلy = logbxتسمى دالة لوغاريتمية ومتى تكتب كـص = log10xيطلق عليه لوغاريتم الأساس العشر.[2]

    اهمية اللوغاريتمات في حياتنا

    تجد اللوغاريتمات سبب التأثير ، أي المدخلات لبعض المخرجات مثل الانتقال من $ 100 إلى $ 150 في 5 سنوات كيف حدث هذا؟ لسنا متأكدين ، لكن اللوغاريتم يجد سببًا محتملاً العودة المستمرة لـ ln (150/100) / 5 = 8.1٪ سوف يفسر هذا التغيير ، قد لا يكون السبب الحقيقي (هل حدث كل النمو في العام الأخير؟) ، لكنه متوسط ​​سلس يمكننا مقارنته بالتغييرات الأخرى .

  • 100 هي 10 التي نمت من تلقاء نفسها لفترتين زمنيتين ( 10 · 10 )
  • 1000 هو 10 التي نمت بنفسها لمدة 3 فترات زمنية ( 10 · 10 · 10 )
  • يمكننا أن نفكر في الأرقام على أنها مخرجات (1000 هو “1000 ناتج”) ومدخلات (“كم مرة تحتاج 10 للنمو لتحقيق هذه المخرجات؟”). وبالتالي ،1000 outputs > 100 outputsلان3 inputs > 2 inputsأو بعبارة أخرى:log(1000) > log(100)أعداد كبيرة تحطم عقولنا. الملايين والتريليونات “كبيرة حقًا” على الرغم من أن مليون ثانية هي 12 يومًا وتريليون ثانية هي 30 ألف سنة. إنه الفرق بين سنة إجازة أمريكية وكامل الحضارة الإنسانية ، الحيلة للتغلب على “هذه الأعداد الهائلة” هي كتابة الأرقام من حيث “المدخلات” (أي قاعدة قوتها 10)  هذا المقياس الأصغر (من 0 إلى 100) أسهل في الفهم :قوة 0 = 10 0 = 1 (عنصر واحد)قوة 1 = 10 1 = 10قوة 3 = 10 3 = ألفقوة 6 = 10 6 = مليونقوة 9 = 9 10 = مليارقوة 12 = 10 12 = تريليونقوة 23 = 10 23 = عدد الجزيئات في دزينة جرامات من الكربونقوة 80 = 10 80 = عدد الجزيئات في الكونأخذنا مقياس من 0 إلى 80 من عنصر واحد إلى عدد الأشياء في الكون .اللوغاريتمات في الضرب للأرقام الكبيرةتصف اللوغاريتمات التغييرات من حيث الضرب: في الأمثلة أعلاه ، كل خطوة أكبر بـ 10x باستخدام اللوغاريثم الطبيعي ، تكون كل خطوة “e” (2.71828 …) مرات أكثر .عند التعامل مع سلسلة من عمليات الضرب ، تساعد اللوغاريتمات في “عدها” ، تمامًا مثل حساب الجمع بالنسبة لنا عند إضافة التأثيرات.نحن نصف الأعداد من حيث أعدادها ، أي عدد القوى التي تمتلكها 10 (هل هي في العشرات ، أو المئات ، أو الآلاف ، أو العشرة آلاف ، إلخ). إضافة رقم يعني “الضرب في 10” ، أي\ displaystyle {1 \ text {[1 digit]} \ cdot 10 \ cdot 10 \ cdot 10 \ cdot 10 \ cdot 10 \ text {[5 more digits]} = 10 ^ 5 = 100،000}تحسب اللوغاريتمات عدد المضاعفات المضافة ، لذا بدءًا من 1 (رقم واحد) نضيف 5 أرقام أخرى ( 10 5 ) و 100000 نحصل على نتيجة مكونة من 6 أرقام. الحديث عن “6” بدلاً من “مائة ألف” هو جوهر اللوغاريتمات. إنه يعطي إحساسًا تقريبيًا بالمقياس دون القفز إلى التفاصيل .سؤال إضافيكيف تصف 500000؟ إن قول “رقم 6” مضلل لأن 6 أرقام تشير غالبًا إلى شيء أقرب إلى 100000  هل ستنجح “6.5 الرقم”؟ليس صحيحا. في أذهاننا ، 6.5 تعني “منتصف الطريق” بين 6 و 7 أرقام ، لكن هذه عقلية الأفعى في اللوغاريتمات ، تعني “.5” نصف الطريق من حيث الضرب ، أي أن الجذر التربيعي ( 9 ^ .5 يعني أن الجذر التربيعي للرقم 9 – 3 في منتصف الطريق من حيث الضرب لأنه 1 إلى 3 ومن 3 إلى 9) .بأخذ لوغاريتم (500000) نحصل على 5.7 ، نضيف 1 للرقم الإضافي ، ويمكننا القول “500000 هو رقم رقم 6.7” :في أجهزة الكمبيوتر ، حيث يتم حساب كل شيء بالبتات (1 أو 0) ، يكون لكل بت تأثير مضاعف (وليس 10x) لذا فإن الانتقال من 8 إلى 16 بت هو “8 أوامر من حيث الحجم” أو 2 8 = 256 مرة أكبر(تشير كلمة “أكبر” في هذه الحالة إلى حجم الذاكرة التي يمكن معالجتها.) الانتقال من 16 إلى 32 بت يعني زيادة حجم الذاكرة بمقدار 16 ترتيبًا ، أو 2 16 ~ 65،536 ضعف الذاكرة التي يمكن معالجتها .اللوغاريتمات في حساب اسعار الفائدةكيف نحدد معدلات النمو؟ لا تنوي الدولة النمو بمعدل 8.56٪ سنويًا تنظر إلى الناتج المحلي الإجمالي في عام واحد والناتج المحلي الإجمالي في العام التالي ، ونجد استخدامات اللوغاريتمات في إيجاد معدل النمو الضمني .تفسيراتي المفضلة للوغاريتم الطبيعي (ln (x)) ، أي اللوغاريتم الطبيعي 1.5 :بافتراض نمو بنسبة 100٪ ، ما المدة التي تحتاجها للنمو للوصول إلى 1.5؟ (.405 ، أقل من نصف الفترة الزمنية)بافتراض وحدة واحدة من الوقت ، ما مدى السرعة التي تحتاجها للنمو للوصول إلى 1.5؟ (40.5٪ في السنة ، تتضاعف باستمرار) اللوغاريتمات هي كيف نكتشف مدى سرعة نموها .اللوغاريتمات في القياس Google PageRankتمنح Google كل صفحة على الويب درجة (PageRank) وهي مقياس تقريبي للسلطة / الأهمية هذا مقياس لوغاريتمي ، والذي يعني في رأسي “نظام ترتيب الصفحات يحسب عدد الأرقام في نتيجتك” .لذلك ، فإن الموقع الذي يحتوي على pagerank 2 (“رقمان”) هو أكثر شيوعًا بمقدار 10 مرات من موقع PageRank 1 موقعي هو PageRank 5 و CNN به PageRank 9 ، لذلك هناك فرق 4 مرات في الحجم ( 10 4 = 10000).بشكل تقريبي ، أحصل على حوالي 7000 زيارة / يوم. باستخدام حساب الظرف الخاص بي ، يمكنني تخمين أن CNN تحصل على حوالي 7000 * 10000 = 70 مليون زيارة / يوم. (كيف أفعل ذلك؟ في رأسي ، أعتقد أن 7 كيلو · 10 كيلو = 70 · ك · ك = 70 · م ). قد يكون لديهم عدة مرات أكثر من ذلك (100 مليون ، 200 مليون) ولكن ربما لا يصل إلى 700 مليون .تنقل Google الكثير من المعلومات بمقياس تقريبي للغاية (1-10) .اللوغاريتمات في مقياس ريختر وديسيبلتنهد. نحن في المثال النموذجي “اللوغاريتمات في العالم الحقيقي” مقياس ريختر وديسيبل الفكرة هي وضع الأحداث التي يمكن أن تختلف اختلافًا جذريًا (الزلازل) على مقياس واحد مع نطاق صغير (عادةً من 1 إلى 10) تمامًا مثل نظام ترتيب الصفحات .فإن كل زيادة بمقدار نقطة واحدة هي تحسن بمقدار 10 أضعاف في القوة. أكبر زلزال سجله الإنسان كان 9.5 ؛ كان تأثير شبه جزيرة يوكاتان ، الذي تسبب على الأرجح في انقراض الديناصورات ، 13 عامًا.الديسيبل متشابه ، رغم أنه يمكن أن يكون سالبًا. يمكن أن تنتقل الأصوات من الهدوء الشديد (pindrop) إلى بصوت عالٍ للغاية (الطائرة) ويمكن لأدمغتنا معالجة كل ذلك.في الواقع ، صوت محرك الطائرة أقوى بملايين (بلايين ، تريليونات) من المرات من صوت pindrop ، ومن غير المناسب أن يكون هناك مقياس يتدرج من 1 إلى غازليون. السجلات تبقي كل شيء على نطاق معقول.الرسوم البيانية اللوغاريتميةسترى غالبًا عناصر مرسومة على “مقياس لوغاريتمي”. في رأيي ، هذا يعني أن أحد الجوانب يعد “عدد الأرقام” أو “عدد المضاعفات” ، وليس القيمة نفسها. مرة أخرى ، يساعد هذا في إظهار الأحداث المتغيرة بشكل كبير على مقياس واحد (الانتقال من 1 إلى 10 ، وليس 1 إلى المليارات) .يُعد قانون مور مثالًا رائعًا: نضاعف عدد الترانزستورات كل 18 شهرًا .[3]